深入浅出神经网络:理解微积分的精髓
大家好,我是Hexmos的创始人Shrijith Venkatrama。我目前正在开发LiveaPi,一个简化API文档生成的。
神经网络看起来复杂,但其核心思想却出奇地简单:导数。Andrej Karpathy的Micrograd项目完美诠释了这一点——仅用不到150行Python代码,就清晰地展现了神经网络的基本原理。本文将循序渐进地讲解Micrograd,从最基础的概念开始,逐步深入。您将学习:
- 导数的真正含义及其计算方法
- 符号微分与数值微分之间的
- 微小输入变化如何影响输出(正、负和零斜率)
- 神经网络不需要显式导数公式
我们将通过图解、简短代码示例和实用见解,帮助您理解梯度下降如何驱动神经网络学习,避免不必要的复杂性。让我们开始吧!
Karpathy的Micrograd项目仅包含两个文件:

- Engine.py:不到100行代码,定义了值类,是神经网络运行的核心。
- nn.py:定义了神经元、层和多层感知器(MLP),约60行代码。
核心思想:不到150行简洁的Python代码,就足以捕捉神经网络的核心思想。其他库中代码的复杂性主要在于效率的提升。
理解导数:基础概念
首先,让我们通过几个例子来理解导数的概念:
- 定义一个函数f,接收标量输入,返回标量输出。
- 生成一系列x值(输入)和对应的y值(输出)。
- 绘制函数图像。
- 计算导数的两种方法:
我们的目标是在特定点(例如x=3)找到函数的导数。在学校,我们通常学习的是符号微分法。

例如,对于表达式3*x*2 – 4x + 5,我们可以求出导数表达式为6*x – 4。然而,在神经网络中,我们处理的表达式可能非常复杂,不可能手动求导。
因此,我们采用数值微分法。但在学习数值微分之前,先理解导数的概念非常重要。
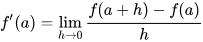
可微函数的含义
关键公式如下:

公式中,h是一个很小的值,并且趋近于0。我们关注的是:当输入发生微小变化时,函数输出的趋势是什么?更具体地说,在x点,如果我们增加一个微小的量h,输出会增加还是减少?变化的大小是多少?
公式的结果代表斜率。如果输入的微小增加导致正斜率,则输出值增加;如果导致负斜率,则输出值减少。

在某些点上,输入的微小增加可能不会改变输出,此时斜率为零。
数值实验
我们可以通过数值实验来验证上述直觉,使用一系列有效的x值和一个微小的h值。
- 正斜率示例
- 负斜率示例
- 零斜率示例
参考:神经网络和反向传播的简明介绍:构建Micrograd

以上就是用微衍生物从头开始了解反向传播的详细内容,更多请关注php中文网其它相关文章!
微信扫一扫打赏
支付宝扫一扫打赏
